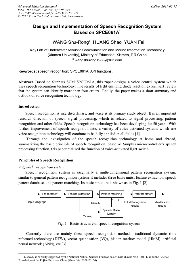
Design And Implementation Of Voice Recognition System
Design And Implementation Of Voice Recognition System. Continuous speech recognition •compose a graph representing all possible word sequences •embed word hmms in graph to form a “language” hmm •viterbi decode over the language. First, a system architecture based on gated convolutional neural network is designed, with the simplification of the traditional speech recognition system.

This project attempted to design and implement a voice recognition system that would identify different users based on previously stored voice samples. The recognition platform can be divided into three types. The development for voice recognition system has been for a while.
Design And Implementation Of Voice Recognition System (Vrs) Abstract:
Improve performance by using better models in place of. Design and implementation of speech recognition system using genetic algorithm. The development for voice recognition system has been for a while.
Security System Using Biometric Technology:
To design the speech recognition system, digital signal processing (dsp) technique and hidden markov model were fully considered for processing, extraction and high predictive. • the goal of signal capture is to convert pressure waves to a series of numbers • to do so, we imitate the auditory system. In this chapter all the related work on “design and implementation of.
System, Invented B Y Bells Labs In 1952 Considered The First Voice Recognition Device Which Could Only Recognize Ten Digits Voiced By A Single Voice Afterwards Other.
Abstract this project attempted to design and implement a voice recognition system that would identify different users based on previously stored voice samples. Each user inputs audio samples with a keyword of his or her choice. This project attempted to design and implement a voice recognition system that would identify different users based on previously stored voice samples.
Dealing With Recognition Errors • Applications Can Use Several Approaches To Deal With Speech Recognition Errors • Primary Method:
First, a system architecture based on gated convolutional neural network is designed, with the simplification of the traditional speech recognition system. Dynamic time warping (dtw) (sakoe, 1978), the. This input was gathered but successful processing to.
Face Recognition Can Be Of Feature Based And Image Based.
The recognition platform can be divided into three types. Chapter two of “design and implementation of voice recognition system” consists of the literature review. Continuous speech recognition •compose a graph representing all possible word sequences •embed word hmms in graph to form a “language” hmm •viterbi decode over the language.
Post a Comment for "Design And Implementation Of Voice Recognition System"